Maximum Power Transfer Theorem:
Statement :
The maximum power transfer theorem states that in a linear , bilateral DC and AC network , maximum power is delivered to the load when the load resistance is equal to the internal resistance of a source.
If it is an independent voltage source, then its series resistance (internal resistance Rs) or if it is independent current source, then its parallel resistance (internal resistance Rs) must equal to the load resistance RL to deliver maximum power to the load.
Explanation of Maximum Power Transfer Theorem
A variable resistance RL is connected to a DC source network as shown in the circuit diagram in figure A below and the figure B represents the Thevenin’s voltage VTH and Thevenin’s resistance RTH of the source network. The aim of the Maximum Power Transfer theorem is to determine the value of load resistance RL, such that it receives maximum power from the DC source.
Considering figure B the value of current will be calculated by the equation shown below
While the power delivered to the resistive load is given by the equation
Putting the value of I from the equation (1) in the equation (2) we will get
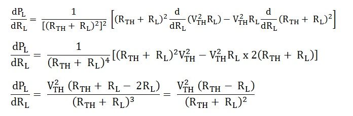
PL can be maximized by varying RL and hence, maximum power can be delivered when (dPL/dRL) = 0
However,
But as we know, (dPL/dRL) = 0
Therefore,
Which gives
Hence, it is proved that power transfer from a DC source network to a resistive network is maximum when the internal resistance of the DC source network is equal to the load resistance.
Again, with RTH = RL, the system being perfectly matched to the load and the source, thus, the power transfer becomes maximum, and this amount of power Pmax can be obtained by the equation shown below
Equation (3) gives the power which is consumed by the load. The power transfer by the source will also be same as the power consumed by the load, i.e. equation (3), as the load power and the source power being the same.
Thus, the total power supplied is given by the equation
During Maximum Power Transfer the efficiency ƞ becomes
The concept of Maximum Power Transfer theorem is that by making the source resistance equal to the load resistance, which has wide application in communication circuits where the magnitude of power transfer is sufficiently small. To achieve maximum power transfer, the source and the load resistance are matched and with this, efficiency becomes 50% with the flow of maximum power from the source to the load.
In Electrical Power Transmission system, the load resistance being sufficiently greater than the source resistance, it is difficult to achieve the condition of maximum power transfer.
In power system emphasis is given to keep the voltage drops and the line losses to a minimum value and hence the operation of the power system, operating with bulk power transmission capability, becomes uneconomical if it is operating with only 50% efficiency just for achieving maximum power transfer. Hence, in the electrical power transmission system, the criterion of maximum power transfer is very rarely used.
Steps for Solving Network Using Maximum Power Transfer Theorem
Following steps are used to solve the problem by Maximum Power Transfer theorem
Step 1 : Remove the load resistance of the circuit.
Step 2 :Find the Thevenin’s resistance (RTH) of the source network looking through the open circuited load terminals.
Step 3 :As per the maximum power transfer theorem, this RTH is the load resistance of the network, i.e., RL = RTH that allows maximum power transfer.
Step 4 : Maximum Power Transfer is calculated by the equation shown below
Statement :
The maximum power transfer theorem states that in a linear , bilateral DC and AC network , maximum power is delivered to the load when the load resistance is equal to the internal resistance of a source.
If it is an independent voltage source, then its series resistance (internal resistance Rs) or if it is independent current source, then its parallel resistance (internal resistance Rs) must equal to the load resistance RL to deliver maximum power to the load.
Explanation of Maximum Power Transfer Theorem
A variable resistance RL is connected to a DC source network as shown in the circuit diagram in figure A below and the figure B represents the Thevenin’s voltage VTH and Thevenin’s resistance RTH of the source network. The aim of the Maximum Power Transfer theorem is to determine the value of load resistance RL, such that it receives maximum power from the DC source.
Considering figure B the value of current will be calculated by the equation shown below
While the power delivered to the resistive load is given by the equation
Putting the value of I from the equation (1) in the equation (2) we will get
PL can be maximized by varying RL and hence, maximum power can be delivered when (dPL/dRL) = 0
However,
But as we know, (dPL/dRL) = 0
Therefore,
Which gives
Hence, it is proved that power transfer from a DC source network to a resistive network is maximum when the internal resistance of the DC source network is equal to the load resistance.
Again, with RTH = RL, the system being perfectly matched to the load and the source, thus, the power transfer becomes maximum, and this amount of power Pmax can be obtained by the equation shown below
Equation (3) gives the power which is consumed by the load. The power transfer by the source will also be same as the power consumed by the load, i.e. equation (3), as the load power and the source power being the same.
Thus, the total power supplied is given by the equation
During Maximum Power Transfer the efficiency ƞ becomes
The concept of Maximum Power Transfer theorem is that by making the source resistance equal to the load resistance, which has wide application in communication circuits where the magnitude of power transfer is sufficiently small. To achieve maximum power transfer, the source and the load resistance are matched and with this, efficiency becomes 50% with the flow of maximum power from the source to the load.
In Electrical Power Transmission system, the load resistance being sufficiently greater than the source resistance, it is difficult to achieve the condition of maximum power transfer.
In power system emphasis is given to keep the voltage drops and the line losses to a minimum value and hence the operation of the power system, operating with bulk power transmission capability, becomes uneconomical if it is operating with only 50% efficiency just for achieving maximum power transfer. Hence, in the electrical power transmission system, the criterion of maximum power transfer is very rarely used.
Steps for Solving Network Using Maximum Power Transfer Theorem
Following steps are used to solve the problem by Maximum Power Transfer theorem
Step 1 : Remove the load resistance of the circuit.
Step 2 :Find the Thevenin’s resistance (RTH) of the source network looking through the open circuited load terminals.
Step 3 :As per the maximum power transfer theorem, this RTH is the load resistance of the network, i.e., RL = RTH that allows maximum power transfer.
Step 4 : Maximum Power Transfer is calculated by the equation shown below
What is Maximum Power Transfer Theorem
4/
5
Oleh
Unknown









